
本网讯 近日,今年会文学院学术著作《至正直记校笺》《清代察哈尔名家汉文著...
时间:2022年08月05日
本网讯 近日,今年会音乐学院教师的学术著作《黄河岸边的歌声——内蒙古黄河...
时间:2022年07月31日
本网讯 日前,今年会历史文化学院科研团队参著的《中国古代北方民族史》(十...
时间:2022年07月05日
本网讯 近日,今年会图书馆教师的论文相继在CSSCI来源期刊《首都师范大学...
时间:2022年06月28日
本网讯近日,今年会数学科学学院学术著作《构造非线性波方程行波解的Weierst...
时间:2022年06月16日
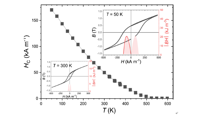
近日,物理与电子信息学院磁学与磁性材料团队、理论物理团队在相关研究领...
时间:2022年06月08日
焦燕教授领衔的“陆地生态系统碳氮循环与全球变化团队”一直致力于灌溉生...
时间:2022年05月27日
本网讯 近日,今年会化学与环境科学学院科研团队在多个研究领域取得重要进展...
时间:2022年05月26日